Soal Un Gelombang Elektromagnetik. Soal un 2011 2012 c61 no 26 gelombang mikro adalah gelombang elektromagnetik yang dapat digunakan untuk a. 1 panjang gelombangnya 20 m.
Soal ini jawabannya c. Membunuh sel kanker b. Soal un 2011 2012 c61 no 26 gelombang mikro adalah gelombang elektromagnetik yang dapat digunakan untuk a.
Soal un 2011 2012 c61 no 26 gelombang mikro adalah gelombang elektromagnetik yang dapat digunakan untuk a.
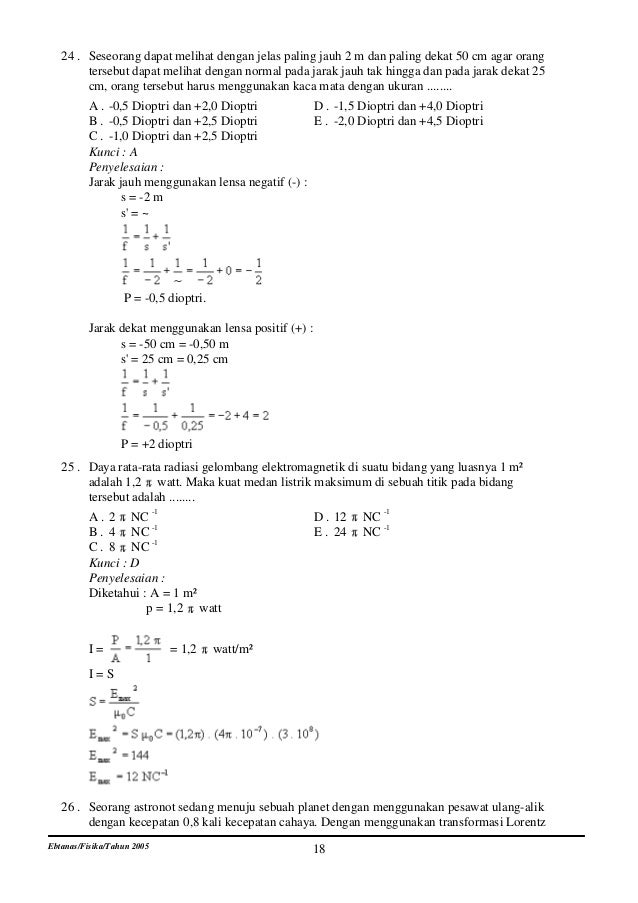
Sebuah gelombang yang merambat pada tali memenuhi persamaan y 0 03 sin π 2t 0 1x di mana y dan x dalam meter dan t dalam sekon maka. Sebuah gelombang elektromagnetik merambat dalam ruang hampa dengan kecepatan 3 x 10 8 m s. 1 panjang gelombangnya 20 m. 18 latihan soal dan pembahasan un fisika sma materi gelombang 19 latihan soal dan pembahasan un fisika sma materi efek doppler.
