Kumpulan Soal Fungsi Komposisi Dan Fungsi Invers. Soal dan pembahasan komposisi fungsi dan invers fungsi disajikan untuk menjawab kebutuhan siswa kelas 10 sma tentang materi pelajaran komposisi fungsi dan invers fungsi dan juga untuk memenuhi kebutuhan kelas 12 untuk menghadapi un dan ujian masuk perguruan tinggi negri soal diambil dari berbagai sumber terutama soal soal un dan soal soal masuk ptn. Ulasan materi matematika kali ini akan membahas rumus fungsi invers dan fungsi komposisi.
Dengan kata lain daerah asal dari f x merupakan daerah asal bagi f 1 x dan daerah asal dari f x merupakan daerah hasil bagi f 1 x. Soal juga dapat diunduh dengan mengklik tautan berikut. Jika ada kritik dan saran langsung saja ketikkan komentar pada kolom kontar di bagian bawah setiap artikel.
Soal juga dapat diunduh dengan mengklik tautan berikut.
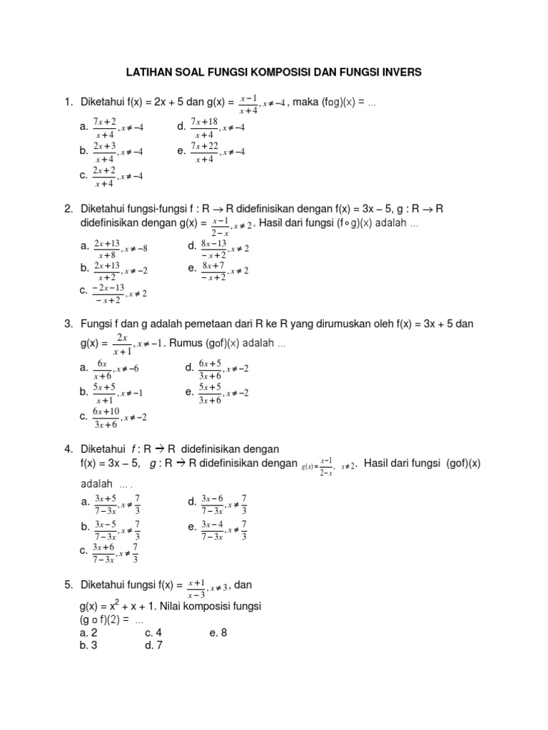
Berikut ini materi lengkap tentang fungsi mulai dari pengertian sifat sifat relasi dan fungsi fungsi komposisi fungsi invers contoh soal. Latihan soal fungsi komposisi dan fungsi invers 1. Contoh soal fungsi komposisi dan invers pilihan ganda pembahasan berikut ini bank contoh soal fungsi komposisi dan invers lengkap dengan jawaban beserta penyelesaiannya untuk siswa dari berbagai penerbit buku yang berjumlah 20 butir. Ulasan materi matematika kali ini akan membahas rumus fungsi invers dan fungsi komposisi.
