website page counter

Contoh Soal Vektor Matematika Dan Penyelesaiannya Kelas 10

The best Images

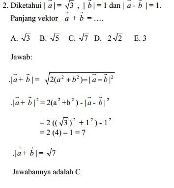
Contoh Soal Vektor Matematika Dan Penyelesaiannya Kelas 10.

Contoh Soal Matematika Kelas 10
Contoh Soal Matematika Kelas 10 from mbahgado.blogspot.com

close